近日,我院吕齐放副教授课题组在组分夸克间的短程相互作用机制方面取得了新进展,并在SCIENCE CHINA Physics, Mechanics & Astronomy上发表了题为``Reveal short range interactions betweenu/dquarks in theNN,D03, andD30systems”的研究论文。清华大学邹冰松院士受邀对该研究工作做了题为``Establishing the vector-meson-exchange dominance for the short range interactions of light quarks”的研究亮点评述(Research Highlight),同期发表在SCIENCE CHINA Physics, Mechanics & Astronomy上。
理解组分夸克之间的强相互作用是强子物理学的基本问题之一。量子色动力学(QCD)是描述强相互作用的基本理论,具有渐进自由、色禁闭和手征对称性自发破缺等特点。由于非微扰能区问题的复杂性,严格的QCD计算变得十分困难,人们不得不求助于格点QCD、有效场论和唯象模型等方法。组分夸克模型在描述强子性质方面取得了很大的成功,但仍然存在一些长期悬而未决的问题。比如,轻夸克之间的短程相互作用是来源于单胶子交换还是矢量介子交换,或者两者都是重要的?研究其动力学机制是一个具有挑战性的课题。
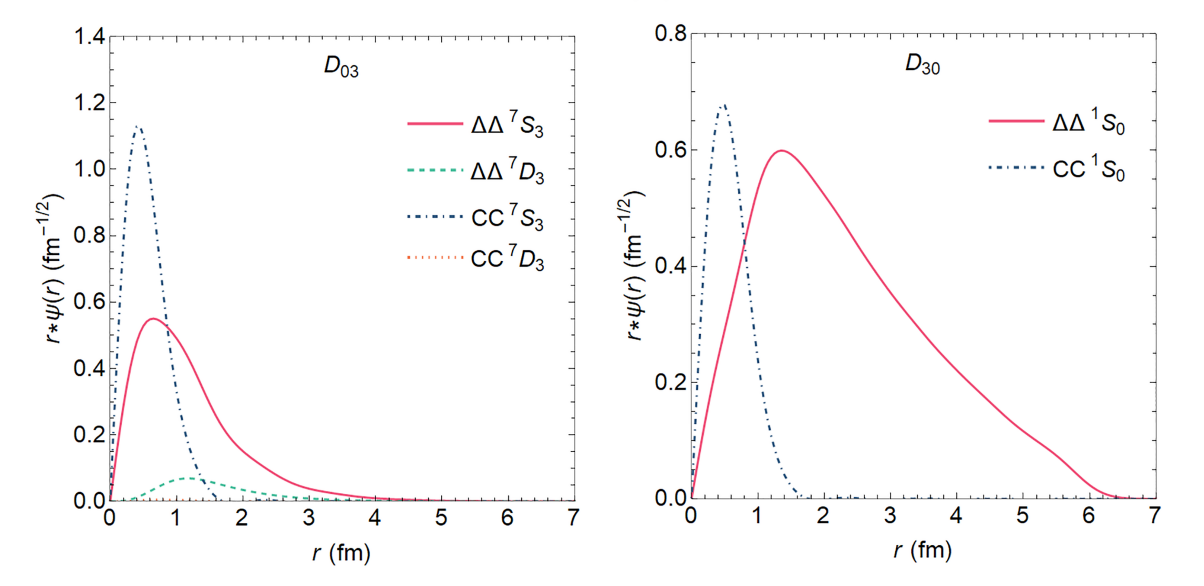
为了揭示上/下(u/d)夸克之间的短程相互作用机制,该研究工作提出在NN、D03和D30等双重子体系中联合研究单胶子交换和矢量介子交换的影响。不同体系之间相互作用强度的对比提供了一种新颖且实用的研究短程相互作用机制的方案。研究发现NN体系的性质对短程相互作用的具体形式不敏感,而D03和D30体系则非常适合研究夸克之间的短程相互作用。研究结果表明矢量介子交换在u/d夸克之间的短程相互作用中占主导地位,而单胶子交换的贡献相对较小。

该项工作由我院吕齐放副教授和中国科学院高能物理研究所董宇兵研究员、沈彭年研究员、张宗烨院士共同完成。论文的第一作者是吕齐放副教授,湖南师范大学是论文的第一单位,吕齐放副教授和中国科学院高能物理研究所董宇兵研究员是论文的通讯作者。该工作得到了国家自然科学基金、湖南省自然科学基金、湖南省教育厅科学研究项目和湖南师范大学青年人才托举项目的资助。
论文原文链接:https://link.springer.com/article/10.1007/s11433-024-2541-9
研究亮点评述链接:https://link.springer.com/article/10.1007/s11433-024-2561-2
一审:吕齐放
二审:贺兵香
三审:廖洁桥

当前位置: